2.5.1 Bioremédiation : principe
La bioremédiation est l'utilisation de microorganismes pour la gestion de pollutions.
Lorsque la bioremédiation est pressentie, une approche multi-critères permet de conclure ou non à la biotraitabilité d'un site sur la base des questions suivantes : 1/ efficacité des techniques, 2/ applicabilité des traitements à tout type de sol et de polluant, 3/ gamme de concentration en polluant(s) pour un traitement efficace, 4/ taux de dépollution, 5/ pertinence de la bioaugmentation ou de la biostimulation, 6/ durée des traitements, 7/ coûts. Cette approche se base sur le tryptique sol-polluant(s)-microorganismes (Figure 010). Les trois interactions sol-microorganismes, microorganismes-polluant(s) et polluant(s)-sol doivent être validées pour qu'il y ait potentiellement biotraitabilité. On se posera la question 1/ de la capacité des microorganismes à dégrader les polluants, 2/ de leur activité de dégradation dans le sol, leur présence n'étant pas systématiquement corrélée à leur fonction de dégradation et 3/ de l'interaction entre les polluants et le sol, les polluants étant plus ou moins en contact avec les microorganismes, ou sous des formes ne permettant pas leur dégradation (cas des polluants hydrophobes impliquant d'ajouter des surfactants).

Au-delà de ce critère de biotraitabilité, l'hétérogénéité du sol (Figure 011- Davet P. (1996)[1]), à l'échelle micrométrique, peut fortement moduler les performances de bioremédiation. En effet, selon la répartition des polluants, des microorganismes, des nutriments, de l'oxygène, etc dans le sol, les performances de bioremédiation seront plus ou moins élevées.

Croissance microbienne et besoin nutritionnels
Les microorganismes grandissent, se multiplient en reconstituant de la matière vivante à partir d'éléments chimiques du sol (organiques et inorganiques). Ils requièrent de l'énergie pour leur métabolisme (chimique, lumineuse).
La composition moyenne des microorganismes en C, H, O, N, P, S varie légèrement selon l'espèce et l'état physiologique du microorganisme ≈ 50% (m/m) C ; 8% H ; 20% O ; 12% N ; 3 % P ; 1% S.
Les polluants organiques peuvent constituer une partie des éléments organiques utilisés par les microorganismes pour leur métabolisme. Les éléments inorganiques sont également utilisés par les microorganismes. Les microorganismes ont des besoins en H et O qui proviennent de l'eau et de la source de carbone ; des besoins en carbone (CO2 pour les bactéries autotrophes, C organique pour les microorganismes hétérotrophes), des besoins en azote pour la synthèse des protéines, ADN, ARN, phospholipides membranaires, glucides (N-acétylglucosamine du peptidoglycane), co-enzymes (FAD/FADH2, ...), des besoins en S présent dans les acides aminés (cystéines, méthionine), centre Fe-S des ferrédoxines, cofacteurs (ex : coenzyme A), des besoins en macronutriments : Na+, K+, Cl-, Ca2+, Mg2+, H2PO4-/ HPO42-/PO43- , Fe2+/Fe3+. Ces ions participent à la régulation de la pression osmotique, à la régulation du pH, aux phénomènes associés à la présence de gradients transmembranaires ; ils participent à la stabilisation des protéines, des édifices membranaires ; ils participent au fonctionnement de nombreuses protéines et des besoins en micronutriments : Zn2+, Mn2+, Cu2+, Co2+, Mo6+, Ni2+... nécessaires à la structure fonctionnelle d'enzymes particulières. Ainsi Mn2+ est le cation métallique cofacteur de la superoxyde dismutase, Mo6+ celui des nitrate réductases.
On citera quelques sources d'azote (NH4+ étant la forme assimilée par toutes les bactéries, fréquemment NO3-, N2 (bactéries fixatrice : Rhizobium, Azotobacter), peptides), de phosphore (sous forme de phosphate – on entend l'équilibre dans l'eau du système acide/base H3PO4/H2PO4-/ HPO42-/PO43- – et phosphate à l'état organique (esters phosphoriques, anhydrides d'acide phosphorique)) et de soufre (SO42- réduit pour être assimilé en S2-).
Dégradation des polluants organiques
Le métabolisme microbien se caractérise par trois phases entraînant à chaque fois une perte de chaleur (-Q1, -Q2, -Q3 : perte de chaleur) :
- réaction de synthèse de la biomasse (croissance) : Polluant + O2 → biomasse + CO2 + H2O (-Q1)
- réaction de dégradation du polluant : Polluant → métabolites de dégradation (-Q2)
- réactions de maintenance : Polluant + O2 → CO2 + H2O (-Q3)
Il a été montré que la minéralisation (transformation en CO2) des polluants n'excède pas 45%, le reste étant converti en biomasse microbienne transitoire sous forme de cellules vivantes et en sous-produit du métabolisme. L'ensemble est lié à la matière minérale.
Soit le métabolisme est direct (appelé aussi métabolisme actif). Dans ce cas, le polluant constitue la source de carbone ; il est dégradé grâce à des enzymes spécifiques. Soit le métabolisme est indirect (appelé aussi co-métabolisme ou métabolisme fortuit) et fait appel à une autre source de carbone que celle du polluant. Des enzymes non spécifiques dégradent cette source de carbone ainsi que, fortuitement, le polluant.
La dégradation des polluants fait intervenir des processus d'oxydo-réduction. Dans le cas où le polluant est le donneur d'électron (cas le plus fréquent), celui-ci subit une oxydation pour être dégradé et perd donc un ou plusieurs électrons. Les accepteurs d'électrons sont de nature diverse : oxygène, nitrate, sulfate, etc selon le potentiel rédox du sol. Les réactions les plus exergoniques se produisent en premier (cf. Tableau 007, Wiedemeier et al., 1999[2]). Plus le potentiel rédox est élevé, plus la réaction d'oxydation des molécules (dégradation) sera efficace et rapide.
Type de dégradation | Processus | ΔGr0 * (kJ.mol-1) |
|---|---|---|
Aérobie | Respiration | -3202 |
Anaérobie | Dénitrification | -3245 |
Réduction du Fe(III) | -2343 | |
Réduction du sulfate | -514 | |
Méthanogénèse | -136 |
Remarque : l'enthalpie libre est une grandeur qui permet de prédire le sens dans lequel une réaction chimique se fera. Ainsi :
< 0 Évolution spontanée dans le sens Réactifs --> Produits. Réaction exergonique.
> 0 Évolution spontanée dans le sens Produits --> Réactifs. Réaction endergonique.
= 0 Équilibre chimique.
La dégradation des polluants varie selon l'évolution temporelle et spatiale du potentiel redox (Eh) dans le sol. Les réactions les plus exergoniques se produisent en premier (excepté la réduction des NO3-). L'ordre dépend aussi des propriétés physico-chimiques du milieu et de son hétérogénéité. La biodégradation aérobie est possible si la perméabilité du sol >10-6m/s. La cinétique de dégradation est possiblement affectée par les métaux (ex : glyphosate-Cu).
Dans certains cas, (molécules chlorées), la molécule n'est pas oxydée mais réduite. Elle est l'accepteur d'électrons. Le donneur d'électron est alors H2 ou de petites molécules organiques (lactate, acétate, etc). Ces réactions se produisent dans des sols dont le potentiel redox est bas. Dans le cas de molécules chlorées (ex : PCB), on parle de déchloration réductive (Cl remplacés par H).
La figure 012 (Langenhoff, 2007)[3] illustre les types de biodégradation de différents polluants organiques en fonction des conditions d'oxydoréduction.

Le tableau 008 (Suthersan, 1997)[4] indique de manière qualitative pour quelques polluants classiquement retrouvés dans les sols pollués, le degré de biodégradabilité.
Type de contaminants | Degré de biodégradabilité |
|---|---|
Hydrocarbures pétroliers C6-C15 | Très facile |
Alcools, phénols, amines | Très facile |
Acides, esters, amides | Très facile |
Hydrocarbures pétroliers C12-C20 | Modérément facile |
Ethers, hydrocarbures monochlorés | Modérément facile |
Hydrocarbures pétroliers (<C20) | Modérément difficile |
Hydrocarbures polychlorés | Modérément difficile |
HAP, PCB, pesticides | Très difficile |
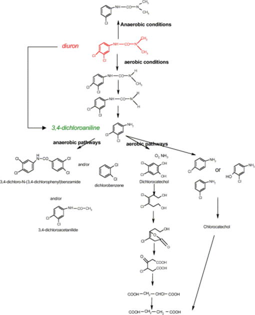
Alors que toute action de bioremédiation vise à minéraliser les polluants - ne reste plus que du CO2, de l'eau et de la matière minérale - tout dépend du polluant et des conditions environnementales de sa dégradation (pH, Eh, etc). Pour les plus difficiles à métaboliser, la dégradation peut être incomplète et conduire à des sous-produits plus toxiques que la molécule « mère » (Figure 013 : exemple de la dégradation du diuron, herbicide très utilisé en viticulture dont la commercialisation est interdite depuis 2008 (Tixier et al 2001)[5]). Le 3,4 dichloroaniline, métabolite de dégradation, peut-être plus de 100 fois plus toxique que le diuron (sur la base d'un choix de tests écotoxicologiques). Pour aboutir à la dégradation complète du diuron, plusieurs microorganismes doivent intervenir simultanément ou séquentiellement.
La dégradation incomplète des polluants organiques peut conduire à la formation de résidus liés (Figure 014). En effet, un polluant organique peut être dégradé jusqu'à un certain stade par les microorganismes du sol et donc ne pas être minéralisé. Les sous-produits de dégradation (parfois toxiques) se lient à la matière organique et minérale du sol pour former des complexes stables à plus ou moins long terme. Ces complexes ne sont pas pour autant indestructibles et peuvent se dégrader à plus ou moins long terme et « relâcher » ces sous-produits de dégradation.

Rôle des micro-organismes dans la mobilité des polluants inorganiques
Contrairement aux polluants organiques susceptibles d'être dégradés, voire minéralisés, seule la forme chimique (spéciation) des polluants inorganiques (métaux, métalloïdes) peut changer, les rendant plus (ou moins) mobiles et donc plus ou moins biodisponibles. L'objectif est soit de les immobiliser dans le sol pour éviter leur transfert vers les plantes et les aquifères, soit au contraire d'augmenter leur mobilité pour les extraire du sol et donc dépolluer ce dernier (exemple de la phytoextraction ou de la bilixiviation). Le cas de la lixiviation (récupération du lixiviat à la base de la terre à traiter) implique au préalable d'excaver le sol.
De nombreux microorganismes possèdent la faculté de mobiliser vs. immobiliser les contaminants inorganiques, grâce à leur capacité de sorption (sur les parois bactériennes, par exemple) et aux propriétés de métabolites à augmenter la mobilité des métaux (exemple des acides organiques abaissant le pH du sol ou des sidérophores aux propriétés de complexations de nombreux métaux). La figure 015 montre que le fer constitutif de particules de sol (hornblende) peut être solubilisé par la bactérie Streptomyces (phénomène d'altération). Outre l'action des métabolites microbiens, la présence de biofilms constitués d'exopolysaccharides maintient une hydratation constante autour des minéraux, favorisant ainsi les réactions de mise en solution. L'altération du minéral est visible en quelques semaines, avec, dans l'exemple de la Figure 016, un réseau d'empreintes de champignons à la surface d'une muscovite après incubation de 12 semaines avec Aspergillus niger.


Rôle des conditions physico-chimiques du sol en bioremédiation
pH :
Il intervient dans la croissance microbienne et la dégradation des polluants. Le pH optimum pour la croissance diffère de celui de l'activité de dégradation mais, globalement, il est d'environ 5 pour les champignons microscopiques (levures et moisissures), de 6-6,5 pour les actinomycètes (bactéries gram+) et de 6-8 pour les eubactéries.
Le pH ne doit pas varier de plus d'une ½ unité pH par an pour éviter de bouleverser l'équilibre biologique du sol.
Un changement de pH peut modifier la dissolution ou la précipitation de certains composés : à pH faible, les cyanures se transforment en HCN toxiques, les métaux se solubilisent.
Température :
C'est l'un des paramètres les plus influents sur le taux de dégradation des polluants. La température influence la vitesse des réactions physiologiques des organismes vivants mais aussi la pression, le potentiel redox, le mouvement brownien des bactéries et donc leur mobilité, la viscosité dont les variations entraînent des répercutions sur l'activité métabolique des microorganismes (4°C à 50°C : températures limites ; 25°C à 35°C : températures favorables sauf pour les bactéries psychrophiles ≈ 10°C ou les thermophiles ≈ 60°C). Les vitesses de biotransformation des polluants doublent tous les 10°C dans une gamme de 5°C-30°C. Les microorganismes en surface du sol sont les plus exposés aux variations de température. Il faut éviter les grandes variations de températures en paillant par exemple le sol
Potentiel redox (Eh) :
1/ aérobiose : une porosité représentant 10% minimum du volume d'un sol est considérée comme nécessaire pour que l'activité microbienne soit aérobie. Il faut retenir que la dégradation d'un polluant est généralement plus efficace en aérobiose (sauf pour les molécules halogénées, notamment les polluants chlorés).
La sélection de la méthode appropriée d'oxygénation dépend des facteurs tels que 1/ le besoin en O2 par le microorganisme pour la dégradation du polluant, 2) la quantité de polluant, 3) la perméabilité du sol et 4) la facilité de transport de l'O2. On peut aérer le sol par labour, si la pollution est superficielle, alors que l'injection sous-pression ou aqueuse traitent le sol plus en profondeur.
En pratique, on peut utiliser de l'eau saturée en O2 (10 mg/L à 10°C) mais la circulation d'un litre d'eau saturée en O2 ne permet la minéralisation que de seulement 3 mg d'hydrocarbures. A raison de 3 g/kg de terre, il faut 1 m3 d'eau/kg de terre !!!) ou drainer si le sol est hydromorphe, c'est-à-dire gorgé d'eau.
2/ anaérobiose : les microorganismes utilisent d'autres accepteurs d'électrons que l'oxygène, par exemple les nitrates réduits en N2 (Eh=+300-500 mV), Fe3+ réduit en Fe2+(Eh=-100-300 mV), les sulfates réduits en H2S (Eh=-150-0 mV), CH4 réduit en CO2 (Eh=-250 mV).
Les nitrates sont intéressants pour des polluants dégradés dans des conditions microaérophiles (oxydantes) ou anaérobies (jusqu'à 92 mg de sels de nitrate dissous/L).
En revanche, certains polluants ne sont dégradés qu'en conditions réductrices (composés halogénés, en particulier les hydrocarbures chlorés très substitués). Dans ce cas, on inonde le sol. L'ajout de matière organique contribue également à réduire le potentiel redox en stimulant l'activité microbienne aérobie de façon à épuiser rapidement l'O2 du sol.
Dans le cas d'anaérobioses très strictes, le CO2 ou les acétates sont utilisés comme accepteurs d'électrons par les bactéries méthanogènes (1 mg de méthane dégagé correspond à 1,3 mg de polluants aromatiques minéralisés).
Nutriments :
Une bonne connaissance du métabolisme des microorganismes du sol et de la stœchiométrie des biotransformations est indispensable à l'évaluation des bilans matière permettant d'estimer les besoins en nutriments (généralement 10g de N et 1g de P pour 100g de C).
Humidité :
Entre 50 et 85% de la capacité de rétention (quantité maximale qu'un sol peut stocker), l'activité microbienne est maximale ; elle décroît à partir de 85% à cause d'une anaérobiose locale (réduction des processus oxydatifs) et en dessous de 50% (soit environ 2% en masse totale de sol) à cause du manque d'eau.
Le développement de la microflore et son activité de biodégradation dépend aussi de l'accès aux polluants, souvent hydrophobes dont l'accessibilité augmente avec l'ajout de tensio-actifs.
Bioatténuation, biostimulation, bioaugmentation
La bioremédiation regroupe trois méthodes : la bioatténuation, la biostimulation et la bioaugmentation.
Bioatténuation :
Consiste uniquement en un suivi de la pollution par mesure régulière des concentrations en polluants dans le sol (et les eaux souterraines). Si la vitesse de disparition du(des) polluant(s) n'est pas suffisamment rapide, la biostimulation voire à la bioaugmentation sont employées.
Biostimulation :
Le préalable est que les microorganismes indigènes (naturellement présents dans le sol) dégradent le(s) polluant(s) à éliminer et/ou modifient la mobilité des polluants inorganiques dans le sens souhaité. On agit alors sur ces populations en apportant des nutriments (C, N, P...) mélangés au sol à traiter et/ou en modifiant les conditions du milieu (teneur en O2, Eh, pH, humidité). C'est une méthode simple à mettre en œuvre et peu coûteuse. Si les microorganismes indigènes dégradent le(s) polluant(s) à éliminer et/ou modifient la mobilité des métaux dans le sens souhaité, l'optimisation des conditions de culture de ces microorganismes sera plus simple à mettre en œuvre et moins coûteuse que la bioaugmentation.
Bioaugmentation :
Des microorganismes préalablement sélectionnés à partir d'échantillons environnementaux (sol, eau) et produits en grande quantité (d'où le terme de bio-augmentation) en bioréacteurs sont inoculés dans leur milieu d'origine ou dans un nouveau milieu afin de permettre ou d'accélérer le procédé de bioremédiation. La bioaugmentation est notamment employée lorsque les microorganismes indigènes ne sont pas présents ou à des densités trop faibles pour être efficaces rapidement. Le succès de la bioaugmentation des sols dépend de plusieurs facteurs :
Croissance des microorganismes inoculés et leur colonisation du sol ;
Conservation des capacités métaboliques des microorganismes inoculés dans leur nouvel environnement ;
Contact entre les microorganismes et les polluants.
Les exemples de bioaugmentation impliquent presque toujours des mélanges d'espèces microbiennes (d'où souvent l'apport de compost = cocktail de souches + nutriments + niches écologiques favorables à la survie microbienne).
La bioaugmentation est le plus souvent réalisée sur des sols excavés et traités en bioréacteur en conditions contrôlées.
La sélection des microorganismes et leur mise en œuvre revêtent une importance cruciale : 1/ origine de l'inoculum (microorganismes provenant du sol pollué à traiter ou d'un autre environnement, ou encore d'un laboratoire), 2/ mono- vs. co-cultures de microorganismes : la dégradation de polluants peut nécessiter l'action conjuguée de plusieurs microorganismes, 3/ formulation de l'inoculum (libre vs. immobilisé sur un support – tourbe par exemple – pour favoriser la survie microbienne), 4/ association microorganismes-végétaux : les microorganismes à associer à des plantes, dans le cas de la phytoremédiation, doivent être judicieusement choisis (Ex : des PGPR : Promoting Growth Plant Rizobacteria).
Les différentes méthodes de bioremédiation sont consignées dans le Tableau 009.
Technique | Description | Avantages | Inconvénients |
|---|---|---|---|
Bioventing | Biosparging en zone non saturée en eau. | Évite le rejet des substances volatiles en surface. | Perméabilité du terrain nécessaire. Processus difficile à contrôler. |
Biosparging | Injection d'air sous pression dans une zone saturée pour augmenter la teneur en O2, en vue de stimuler l'activité microbienne et désorber les polluants. | Évite le rejet des substances volatiles en surface. | Perméabilité du terrain nécessaire. Processus difficile à contrôler. |
Landfarming | Traitement du sol en couche <10cm d'épaisseur sur membrane étanche. Retournement régulier, arrosage et apport de nutriments (utilisé par Total pour traiter les boues de forage des plates-formes pétrolière) | Mise en œuvre simple coût limité | Excavation du sol. Nécessite de grandes surfaces d'épandage. Durée longue >1an. |
Compostage | Traitement du sol en andain et ajout de copeaux de bois ou de paille pour améliorer la texture, l'aération et la teneur en matière organique. | Mise en œuvre simple coût limité | Excavation du sol Durée longue 1 à 3ans. Emission possible de polluants volatils. |
Biotertre (Biopile) | Traitement sur surface imperméable et couverture étanche. Contrôle de l'humidité, oxygénation, apports de nutriments, concentration en microorganismes et Températures. | Contrôle de paramètres de dégradation. Nécessite de moins grandes surfaces que le landfarming. Récupération des lixiviats. | Excavation du sol. Technique lente et faible rendement pour certains composés. |
Bioréacteur | Traitement du sol dans des réacteurs avec optimisation et contrôle des conditions (pH, nutriments, T°, O2) et des populations microbiennes. Ajout de nutriments. | Accélération des processus et de l'accessibilité des polluants. Permet de traiter des composés peu biodégradables et des sols argileux | Excavation des sols. Efficacité limité par accessibilité des polluants. |





